
On National Mathematics Day, which is celebrated on December 22 to mark the birth anniversary of the Indian mathematician Srinivasa Ramanujan, we bring you some fun facts you must know about the genius.
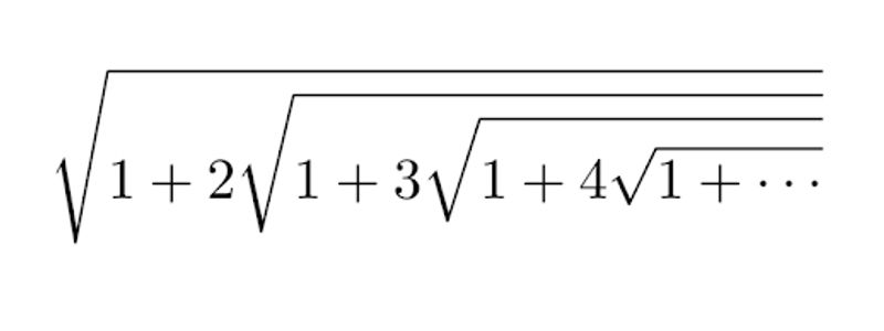
1. When Ramanujan’s work was first published in the Journal of the Indian Mathematical Society, the first problem that he asked the readers or the journal was to find the solution to the following problem:
No one could answer this and eventually, after waiting for 6 months, Ramanujan himself gave the solution to the problem.
2. Ramanujan was a religious person with very pleasant manners. In Cambridge, he once said to GH Hardy, “An equation for me has no meaning unless it expresses a thought of God”.
3. Ramanujan credited all his mathematical genius to divinity and said that his family Goddess – Namagiri – revealed everything to him.
4. Ramanujan once said that he dreamt of a red screen that was formed by flowing blood (symbolising his family Goddess’ consort – Narasimha). A hand suddenly appeared from nowhere and started writing on the red screen. The hand wrote several elliptical integrals and as soon as he woke up, he jotted them down.
5. In England, Ramanujan contemplated suicide by jumping in front of the London Underground Train. A policeman arrested him and was about to throw him in jail when Hardy interfered and said that he cannot arrest a Fellow of Royal Society for committing such a crime. This happened two months before Ramanujan was actually awarded the Fellow of Royal Society. Hardy simply lied back then.
6. When Ramanujan was in Class III, his mathematics teacher said that any number, when divided by itself, gives one. The teacher gave an example and said that if three fruits are divided among three people, each person will get 1 fruit. To this Ramanujan asked, ‘so if no fruits are divided among no one, each one will still get 1 fruit each?’. He was a genius right from the beginning!
7. The house located in Kumbakonam where Ramanujan’s family moved after his birth has now been now converted into Srinivasa Ramanujan International Monument.
8. The discovery of his lost notebook in 1976 was considered as important an event in the world of mathematics as the discovery of the tenth symphony of Beethoven would be to the world of music.
9. In his last year of life, Ramanujan compiled some 600 mathematical formulae and listed them without any proof. They were put in loose, unordered sheets. After his death, the manuscript was sent to the University of Madras by his wife. From there it was sent to Hardy. Hardy sent the manuscript to BM Wilson and GN Watson somewhere in 1934.
10. Ramanujan's academic career witnesses deep troughs. He was a prodigy in maths, but lost his scholarship to college that he had obtained in 1904 by failing in non-maths subjects. He failed his First Arts exam too. During this time, he began his famous notebooks. He struggled with poverty, but then got an interview with the secretary of the Indian Mathematical Society, R Ramachandra Rao. Rao was sceptical about Ramanujan's abilities at first, but later realised his potential and financially supported him.
Check the stories that make everyday living exciting and inspiring. From easy food ideas and healthy habits to fashion trends, beauty tips, travel guides, and more — our lifestyle section brings you everything that helps you live better. Explore the latest trends, smart tips, culture, and real-life experiences that add style, comfort, and joy to your daily life. At MyNation, we bring together food, health, fashion, wellness, and modern living to help you stay informed, inspired, and ahead of the curve.